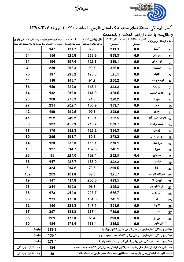
به گزارش خبرگزاری تسنیم از شیراز، آمار بارندگی ایستگاههای هواشناسی استان فارس تا ساعت 10:30 صبح روز دوشنبه چهارم خردادماه بیانگر بارش 386.8 میلیمتری باران در استان فارس که نسبت به مدت مشابه سال گذشته (136.4 میلیمتر) 184 درصد و نسبت به مدت مشابه در بلند مدت (278.4 میلیمتر) 39 درصد افزایش داشته است.

سپیدان (958.3 میلیمتر)، نورآباد ممسنی (730 میلیمتر) و سد درودزن (609.7میلیمتر) پربارشترین و ایزدخواست (206.2 میلیمتر) آباده (211.3 میلیمتر) و سروستان (270.1 میلیمتر) کمبارش ترین شهرهای استان فارس بودهاند.

مقایسه بارندگی سال زراعی جاری با مدت مشابه سال گذشته نشان میدهد که همه نقاط فارس با افزایش بارندگی روبهرو بودهاند. جهرم (360 درصد)، فسا (324 درصد) و قیروکارزین (311 درصد) بیشترین میزان تغییرات را داشتهاند.

مقایسه بارندگی سال زراعی جاری با مدت مشابه در بلندمدت نیز نشاندهنده افزایش بارندگی در تمام نقاط استان فارس است. فورگ داراب (102 درصد)، لار (96 درصد) و اقلید (76 درصد) بیشترین میزان تغییرات را داشتهاند.
گزارش از ثریا ستاری
انتهای پیام/ ز