به گزارش خبرگزاری تسنیم از شیراز ، استان فارس سالهاست که درگیر پدیده خشکسالی است و این موضوع همواره مشکلات بسیاری را برای مردم این استان به ویژه کشاورزان ایجاد کرده است.
هر چند در یکی دو سال اخیر بارش باران در این استان قابل توجه بوده به گونهای که گاه منجر به بروز سیل و سیلاب شد اما سال 1400 و زمستان سال گذشته بارش باران در استان به شدت کاهش داشته است.
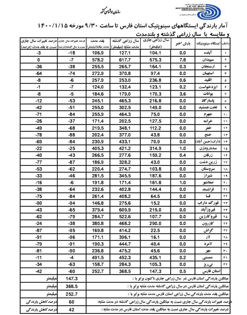
وضعیت بارندگی در استان فارس
براساس آمار اعلام شده از سوی هواشناسی استان فارس تا صبح 15 فروردین ماه میانگین بارندگی استان در سال زراعی 147.3 میلیمتر بوده است در حالی که در سال گذشته در همین زمان میانگین بارندگی 368.5 میلیمتر بوده که کاهش بیش از 50 درصد را نشان میدهد.
میانگین بلندمدت بارندگی سال سال زراعی جاری استان نیز 252.7 میلیمتر گزارش شده است. بر اساس همین آمار درصد تغییرات بارندگی سال جاری نسبت به میانگین بارندگی سال زراعی گذشته 60 درصد کاهش و درصد تغییرات بارندگی سال جاری نسبت به میانگین بلندمدت نیز 42 درصد کاهش را نشان میدهد.
همچنین بررسی وضعیت بارندگی در شهرستانهای مختلف استان نشان میدهد که بارندگی در همه شهرستانها تا 15 فروردین ماه منفی بوده است که شهر لار با منفی 96 کمترین میزان بارش در سال زراعی جاری را داشته است.

کاهش بارندگیها در سال آبی جاری بر ذخیره سدها به عنوان اصلیترین منابع آب استان نیز تاثیر گذاشته است. براساس آمار دریافت شده از آب منطقهای استان فارس تا صبح امروز ذخیره سدهای استان به قرار زیر است.
وضعیت ذخایر سدهای استان فارس
حجم آب قابل استفاده در سد درودزن در سال آبی جاری 212.3 میلیون مترمکعب بوده که این رقم در سال گذشته 261.8 بوده است که کاهش حدود 50 میلیون مترمکعبی را نشان میدهد.
سد ملاصدرا حجم آب قابل استفاده در سال آبی جاری 148.2 میلیون مترمکعب بوده که این میزان در سال گذشته 64.1 میلیون مترمکعب بوده همچنین حجم آب قابل استفاده در سد ایزدخواست در سال آبی جاری 3.1 میلیون مترمکعب بوده که این رقم در سال گذشته 2.9 میلیون مترمکعب بوده است که نسبت به دیگر سدهای استان حجم آب قابل استفاده آن افزایش داشته است.
حجم آب قابل استفاده در سد سلمان فارسی در سال آبی جاری 669.7 میلیون مترمکعب بوده که این رقم در سال گذشته 783.5 بوده است که کاهش حدود 114 میلیون مترمکعبی را نشان میدهد.
حجم آب قابل استفاده در سد سیوند در سال آبی جاری و گذشته 9.8 میلیون مترمکعب بوده و تغییری نداشته است. این وضعیت برای سد تنگاب فیروزآباد چنین بوده که امسال حجم آب قابل استفاده 7.9 میلیون مترمکعب ثبت شده در صورتی که در سال گذشته این رقم 26.2 میلیون بوده است.
حجم آب قابل استفاده در سد رودبال 57.3 میلیون مترمکعب ثبت شده که این میزان در سال گذشته 70.3 میلیون مترمکعب بوده است. حجم آب قابل استفاده در سد چشمه عاشق 18.5 میلیون مترمکعب بوده که این رقم در سال گذشته 23.1 میلیون ثبت شده است.
در نهایت سد خسویه را در استان فارس داریم که حجم آب قابل استفاده آن تا صبح امروز 4.4 میلیون مترمکعب بوده اما این میزان در سال گذشته 5.2 میلیون ثبت شده است.
در نهایت حجم کل آب قابل استفاده در سدهای استان فارس 1117 میلیون مترمکعب است که این میزان در سال گذشته 1237 میلیون مترمکعب بوده است و کاهش 120 میلیون مترمکعبی را نشان میدهد.
همچنین حجم کل آب موجود نسبت به حجم کل مخازن سدها 54.3 درصد و حجم آب مفید در سدها نسبت به حجم مفید مخازن 46 درصد است.
کاهش بارندگیهای امسال و وضعیت ذخایر سدهای استان فارس نشان میدهد که اگر از هم اکنون مدیریت مصرف آب در استان اعمال نشود، در تابستان با سختی روبهرو هستیم.
انتهای پیام/424/ ت